Развитие диабетической нейропатии (ДН) является тяжелым и наиболее распространенным осложнением сахарного диабета. В основе симптоматики ДН лежат дегенеративные процессы во всех типах нервных волокон: чувствительных, двигательных и вегетативных, что клинически может проявляться выраженным болевым синдромом. Боль при ДН – состояние, трудно поддающееся лечению и при котором обычно не отмечается адекватного ответа на стандартные аналгетики. Для выбора оптимальной тактики воздействия на болевой синдром при ДН следует учитывать тот факт, что пациенты с данной патологией в большинстве случаев уже получают фоновое лечение и имеют сопутствующие заболевания. Поэтому для эффективного лечения ДН недостаточно только симптоматического подхода, необходимо подобрать доказанную патогенетическую терапию и персонифицировать лечение с учетом коморбидных состояний и других характеристик пациента. Перспективным препаратом патогенетической терапии нейропатической боли при ДН является α-липоевая кислота. В Украине врачами-специалистами на протяжении уже многих лет широко используется препарат α-липоевой кислоты – ЭСПА-ЛИПОН (esparma GmbH, Германия). Стоит отметить, что ЭСПА-ЛИПОН был первым препаратом высокой концентрации α-липоевой кислоты, зарегистрированным в Украине.
Вероятность развития микрососудистых осложнений при ДН связана с длительно существующей дисрегуляцией обмена глюкозы и ее выраженностью. Гипергликемия индуцирует повышенную продукцию свободных радикалов кислорода в митохондриях (окислительный, или оксидативный стресс), что активирует четыре пути гликемического повреждения: полиоловый, гексозаминовый, протеинкиназа-С-зависимый и AGE-путь. В свою очередь, это приводит к повреждению эндотелиальных и нервных клеток, способствуя возникновению нейропатической боли. Симптоматическое аналгезирующее действие α-липоевой кислоты (АЛК) основано на ее доказанном влиянии на патогенез ДН.
Результаты проведенных исследований подтверждают эффективность перорального и парентерального применения АЛК: улучшается состояние сосудов системы микроциркуляции и замедляется/останавливается повреждающее действие на нейроны. АЛК также снижает показатели оксидативного стресса, который способствует нарушению кровоснабжения нервов и запускает эндоневральное оксидативное повреждение. Например, было показано, что пероральный прием АЛК в качестве монотерапии пациентам с метаболическим синдромом приводит к повышению эндотелийзависимой вазодилатации на 44% через 4 недели терапии. Этот эффект сопровождается снижением плазменного уровня интерлейкина-6 и активатора плазминогена-1, что свидетельствует о положительном влиянии АЛК на эндотелиальную функцию за счет противовоспалительных и антитромботических механизмов. У пациентов с сахарным диабетом на фоне применения АЛК улучшаются такие параметры, как периферическая утилизация глюкозы, толерантность к глюкозе и чувствительность к инсулину. Таким образом, АЛК действует на все звенья патогенеза ДН и оказывает мощный антиоксидантный эффект, предотвращает повреждения, вызванные гипергликемией, восстанавливает и улучшает функциональную активность нервных волокон и эндотелия, тем самым оказывая патогенетически обоснованный обезболивающий эффект у пациентов с ДН.
Эффективность и безопасность применения АЛК при нейропатической боли с позиций доказательной медицине
Эффективность и безопасность АЛК была продемонстрирована в нескольких рандомизированных контролируемых исследованиях (ORPIL, SYDNEY, SYDNEY 2, ALADIN) с высоким уровнем доказательности (класс Ib). Так, например, в исследовании SYDNEY 2 (n=181) выраженное снижение симптомов нейропатии, что соответствовало улучшению на 51%, было получено на фоне перорального приема 600 мг АЛК в течение 5 недель. В первую очередь отмечалось снижение таких симптомов, как колющие боли и жжение.
В исследовании NATHAN 1 (n=429) длительный пероральный прием АЛК в дозе 600 мг в сутки на протяжении 4 лет приводил к достижению более высокого результата по шкале нейропатических нарушений по сравнению с исходным уровнем и плацебо. Важно, что общая оценка переносимости терапии в группе плацебо и группе АЛК не отличалась. Это свидетельствует о высоком профиле безопасности АЛК, даже при необходимом длительном применении.
Эффективность и безопасность АЛК также была подтверждена в представленных 4-х мета-анализах, что соответствует самому высокому уровню доказательности (Класс доказательств Ia). Результаты всех мета-анализов были сопоставимы. Величина положительного действия АЛК является клинически значимой.
В мета-анализе (Ziegler D, Nowak H, Kempler P, et al., 2004) оценивались результаты внутривенного назначения АЛК 1 258 пациентам (716 участника получали АЛК, а 542 – плацебо). Через 3 недели терапии АЛК было зафиксировано на 24% более выраженный эффект по общей шкале симптомов (TSS) и на 16% более выраженный эффект по шкале NISS-LL в группе АЛК, по сравнению с плацебо. Применение АЛК приводило к достоверному улучшению таких симптомов, как боль, жжение и онемение. Парентеральное лечение АЛК в дозе 600 мг в сутки характеризовалось как безопасное и эффективное. Результаты последующих мета-анализов (McIlduff CE, Rutkove SB, 2011; Mijnhout GS, Kollen BJ, Alkhalaf A, et al., 2012; Han T, Bai J, Liu W, Hu Y., 2012) подтвердили эти данные.
Патогенетически обоснованное действие АЛК при ДПН на симптомы нейропатической боли клинически сопоставимо с чаще всего применяющейся терапией, но значительно превосходит ее по безопасности
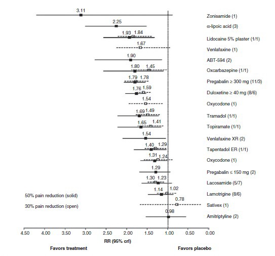
Патогенетически обоснованный обезболивающий эффект АЛК заслуживает отдельного внимания, поскольку является выраженным и сопоставимым с таковым у препаратов, которые чаще всего применяются для лечения нейропатической боли при ДПН: антидепрессанты, антиконвульсанты, опиоидные анальгетики). Так, результаты исследования, представленные на 71-й научной сессии Американской диабетической ассоциации, показали, что АЛК в лечении ДПН обладает сопоставимой налгетической эффективностью, по сравнению с терапией антидепрессантом амитриптилином (Prusek A, 2011). Более развернутые данные клинических исследований были освещены в мета-анализе (Snedecor SJ, Sudharshan L, Cappelleri JC, et al., 2014), включавшим 11 883 пациентов и продемонстрировавшем, что применение АЛК имеет высокий уровень снижения болевого синдрома – на 50%, что превосходит показатели других исследуемых препаратов, которые часто применяются для снижения нейропатической боли (рис. 1).

Рисунок 1. Итоговые даннные мета-анализа фармакотерапии различными препаратами нейропатической боли при ДПН
Возможности применения АЛК в лечении пациентов с нейропатической болью при ДН
АЛК (ЭСПА-ЛИПОН) представляет собой ценную терапевтическую опцию для пациентов с ДН. По сравнению с препаратами, которые чаще всего применяются для симптоматического лечения нейропатической боли при ДН, альфа-липоевая кислота:
- Обладает более высоким профилем переносимости и безопасности.
- Особенно предпочтительна: у пациентов с нейропатическими симптомами и такими коморбидными состояниями, как ожирение, хроническая болезнь почек, тяжелые заболевания печени, ишемическая болезнь сердца и дисфункции вегетативной нервной системы; при раннем нейропатическом дефиците, когда более вероятен регресс диабетической сенсомоторной полинейропатии; у пациентов с кардиоваскулярной автономной нейропатией.
- Является патогенетически обоснованной терапией при ДПН, которая предупреждает процессы повреждения клеток, вызванные гипергликимией, что приводит не только к улучшению симптомов парестезии и сенсорного дефицита, повышению мышечной силы, а и к уменьшению нейропатической боли
Сочетание эффективности и высокого профиля безопасности α-липоевой кислоты (ЭСПА-ЛИПОН) является важным преимуществом в лечении диабетической нейропатии, сопровождающейся нейропатической болью, поскольку позволяет персонифицировать лечение с учетом фоновой терапии, коморбидных состояний и других индивидуальных характеристик пациента с ДН.
Papanas N., Ziegler D. Efficacy of α-lipoic acid in diabetic neuropathy. Expert Opin Pharmacother. 2014 Dec;15(18):2721-31.
Подготовил Игорь Кравченко
Опубликовано в медицинской газете «Здоровье Украины 21 века» №5(450)'2019


